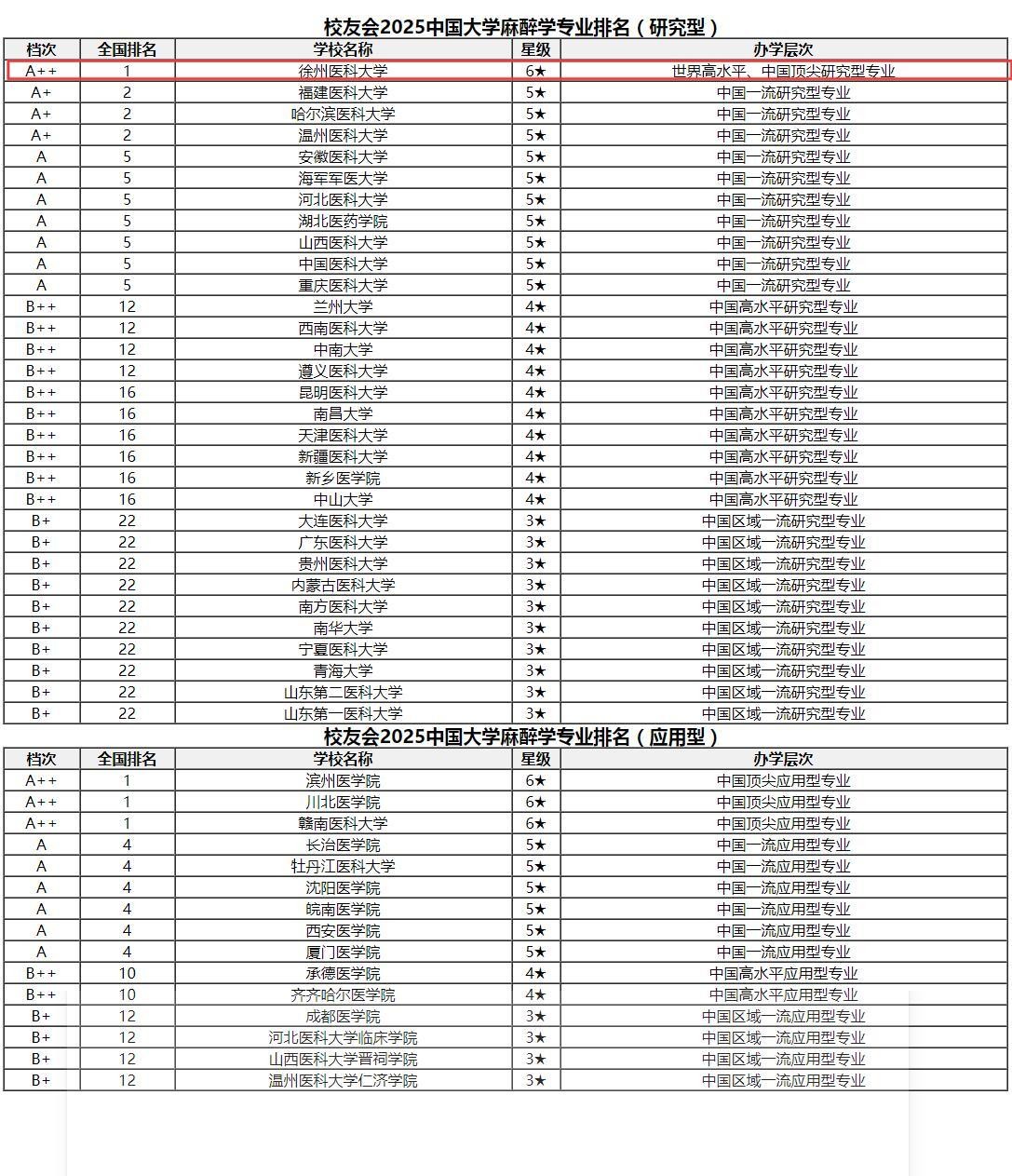
近日,全国第三方大学评价机构艾瑞深校友会网(Cuaa.net)最新发布校友会2025中国大学一流专业排名。我校麻醉学专业获评研究型专业6星级(A++)认证,医学信息工程专业获评研究型专业5星级(A++)认证,两个专业均在专业类排名中位居全国第一,其中,麻醉学专业连续三年蝉联榜首。
我校自1985年创立麻醉学本科专业以来,不断深化教育教学改革与学科建设,探索麻醉学创新人才培养体系。2015年试点国际班,2019年全国首批开设麻醉学“5+3”本硕衔接一体化人才培养,2024年开始麻醉学5+4本硕博一体化拔尖创新人才培养,构建了具有徐医特色的“强基固本拔尖”麻醉学专业创新人才培养模式。经过近40年的发展,伟德客户端下载安装手机版已经成为我国麻醉学本科和研究生培养规模最大、人才培养质量最高的高校,被业内誉为“中国麻醉学人才的摇篮”。再次荣登榜首,是对我校麻醉学专业建设成果的高度认可和人才培养模式的充分肯定。今后,麻醉学院将继续推进新时代麻醉学教育改革创新,构建“教学—-科研—医疗”三位一体的特色发展模式,始终保持在全国麻醉学专业建设中的引领作用。
我校于2011年创办医学信息工程专业。作为全国最早布局医学信息领域的高校之一,专业自创办起便得到学校的重点支持。2021年,医学信息与工程学院实施“12306专业建设高铁计划”,医学信息工程专业取得快速发展,先后获批江苏省一流本科专业建设点、全国首批国家一流本科专业建设点、江苏省高校品牌专业建设工程项目。近5年来,学院在教育教学方面自主研发的医学信息终身教育平台获5省11市卫健委官方推广,构建了“校—医—企”协同育人无边界培养新模式;在科研创新方面获批国家重点研发计划项目、国家重大科技专项课题等30余项,在医学人工智能、慢病防治、数字健康等领域形成先发优势;在人才培养方面分别于2021年和2024年荣获中国国际大学生创新大赛银奖和金奖。此外,医学信息与工程学院坚持“开放办学”理念,重视国际合作,与马来亚大学签署长期合作协议,实现课程互认、师资互聘、课题共研、成果共创,为专业的高质量发展提供持久动能。


(一审:李元栋、吴响,二审:于宁波,三审:熊絮茸)